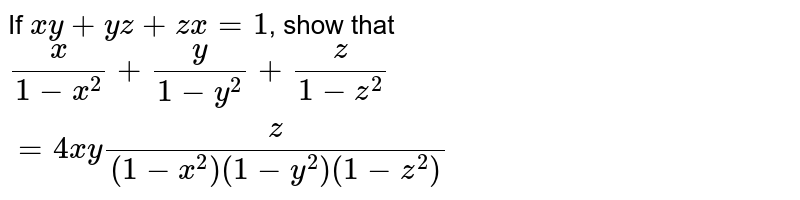
Example 32 Show That Determinant 2xyz X Y Z 3 Class 12
SolutionShow Solution x y z = 4 and x 2 y 2 z 2 = 30 Since ( x y z)2 = x2 y2 z2 2 ( xy yz zx ), we have (4)2 = 30 2 ( xy yz zx ) ⇒ 16 = 30 2 ( xy yz zx ) ⇒ 2 ( xy yz zx ) = 14 ⇒ xy yz zx = `14/2` = 7 ∴ xy yz zx = 7 Concept Expansion of FormulaStep 1 Substitute (xy) instead of x in (1) and z instead of y, we get Step 2 Expand first term using (1) Step 3 Rearrange the terms by grouping with same exponents and also in the descending order of the exponent of each variable kason11wd
X^2+y^2+z^2-xy-yz-zx formula
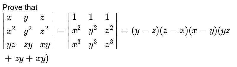
X^2+y^2+z^2-xy-yz-zx formula-Important Statistics Formulas (I) The Mean of Grouped Data can be found by 3 methods Direct Method formula This method can be very calculation intensive if the values of f and x are largeWe have big calculations and chance of making mistake is quite high 2 Assumed mean method formula Where a= Assumed mean and d i = x i –a This method is quite usefulEx 42, 9 By using properties of determinants, show that 8 (x&x2&yz@y&y2&zx@z&z2&xy) = (x – y) (y – z) (z – x) (xy yz zx) Solving LHS 8 (𝑥&𝑥^2&𝑦𝑧@𝑦&𝑦^2&𝑧𝑥@𝑧&𝑧^2&𝑥𝑦) Applying R1→ R1 – R2 = 8 (𝑥−𝑦&𝑥^2−𝑦^2&𝑦𝑧−𝑥𝑧@𝑦&𝑦^2&𝑧𝑥@𝑧&𝑧^2&𝑥𝑦) Ex 42, 9 By using properties of determinants, show that 8 (x&x2&yz@y&y2&zx@z&z2&xy) = (x – y) (y – z) (z –
Let Math X 2 Y Z Y 2 Z X Z 2 X Y Math What Is The Value Of Math Frac 1 1 X Frac 1 1 Y Frac 1 1 Z Math Quora
(x y)^2 = (x y)(x y) and by FOIL (or distributive axiom) we get x^2 xy xy y^2 or x^2 2xy y^2 Instead of doing all that multiplication all one needs to remember when squaring a binomial is the answer is always the first term squared twice the product of the two terms the last term squared19 x 2 y 2 z 2 − xy – yz –zx = 1/2(x − y) 2 (y − z) 2 (z − x) 2 Maths Algebraic Identities for Class 9 Do you know the difference between an algebraic formula (identity) and an algebraic expression?Apply the formula for (ab)²=a²b²2ab for (xy)²,(yz)²
The formula of x 3 y 3 z 3 – 3xyz is written as \(x^{3} y^{3} z^{3} – 3xyz = (x y z) (x^{2} y^{2} z^{2} – xy – yz – zx)\) Let us prove the equation by putting the values of x = 1;Formula (xyz)^2= (x^2y^2z^2)2(xyyzzx) or, (2)^2 = (3) 2(xyyzzx) , or, (xyyzzx) = 1/2 (4) Now , 1/(xyz1)1/(yzx1)1/(zxy1) = ?First remember that solutions to the system must be somewhere on the graph of the constraint, \({x^2} {y^2} = 1\) in this case Because we are looking for the minimum/maximum value of \(f\left( {x,y} \right)\) this, in turn, means that the location of the minimum/maximum value of \(f\left( {x,y} \right)\), ie the point \(\left( {x,y} \right)\), must occur where the graph of \(f\left(
X^2+y^2+z^2-xy-yz-zx formulaのギャラリー
各画像をクリックすると、ダウンロードまたは拡大表示できます
Arxiv Org | ![]() Arxiv Org | ![]() Arxiv Org |
![]() Arxiv Org | ![]() Arxiv Org | ![]() Arxiv Org |
Arxiv Org | Arxiv Org | ![]() Arxiv Org |
![]() Arxiv Org | ![]() Arxiv Org | Arxiv Org |
Arxiv Org | Arxiv Org | Arxiv Org |
Arxiv Org | Arxiv Org | ![]() Arxiv Org |
Arxiv Org | Arxiv Org | ![]() Arxiv Org |
![]() Arxiv Org | ![]() Arxiv Org | ![]() Arxiv Org |
Arxiv Org | ![]() Arxiv Org | Arxiv Org |
![]() Arxiv Org | Arxiv Org | ![]() Arxiv Org |
![]() Arxiv Org | ![]() Arxiv Org | ![]() Arxiv Org |
![]() Arxiv Org | Arxiv Org | ![]() Arxiv Org |
Arxiv Org | Arxiv Org | Arxiv Org |
Arxiv Org | ![]() Arxiv Org | ![]() Arxiv Org |
![]() Arxiv Org | ![]() Arxiv Org | ![]() Arxiv Org |
![]() Arxiv Org | Arxiv Org | ![]() Arxiv Org |
Arxiv Org | ![]() Arxiv Org | ![]() Arxiv Org |
![]() Arxiv Org | Arxiv Org | ![]() Arxiv Org |
![]() Arxiv Org | Arxiv Org | ![]() Arxiv Org |
Arxiv Org | Arxiv Org | ![]() Arxiv Org |
![]() Arxiv Org | ![]() Arxiv Org | ![]() Arxiv Org |
![]() Arxiv Org | ![]() Arxiv Org | Arxiv Org |
![]() Arxiv Org | ![]() Arxiv Org | ![]() Arxiv Org |
![]() Arxiv Org | Arxiv Org | Arxiv Org |
Arxiv Org | ![]() Arxiv Org | Arxiv Org |
![]() Arxiv Org | Arxiv Org | ![]() Arxiv Org |
Arxiv Org | Arxiv Org | ![]() Arxiv Org |
Arxiv Org | ![]() Arxiv Org | ![]() Arxiv Org |
![]() Arxiv Org | ![]() Arxiv Org | ![]() Arxiv Org |
![]() Arxiv Org | ![]() Arxiv Org | Arxiv Org |
![]() Arxiv Org | ![]() Arxiv Org | ![]() Arxiv Org |
Arxiv Org | ![]() Arxiv Org | ![]() Arxiv Org |
![]() Arxiv Org | ![]() Arxiv Org | ![]() Arxiv Org |
![]() Arxiv Org | ![]() Arxiv Org | Arxiv Org |
![]() Arxiv Org | Arxiv Org |
Let tan^(2) alpha = x and tan^(2) beta = y <br>Professionals For math, science, nutrition, history, geography, engineering, mathematics, linguistics, sports, finance, music
Incoming Term: x^2+y^2+z^2-xy-yz-zx formula,



































































